
مقدمه
پلیمرهای ترموپلاستیک روند تازهای در توسعه مواد ایجاد کردهاند. این پلیمرها دارای مزایایی از قبیل قیمت پایین تولید، تنوع بالا، منابع کافی، وزن سبک، خواص مکانیکی خوب، مقاومت شیمیایی و همچنین فرآیند تولید با بازده بالا هستند.
پلیپروپیلن (PP) یکی از پرمصرف ترین پلیمرهای دنیا بهشمار میآید. این ماده بهعلت ویژگیهای فرآیندی مناسب، پایداری شیمیایی بالا و عایق الکتریکی، بهطور فراگیر در اجزای یدکی وسایل نقلیه، دوچرخهها، محصولات الکترونیکی، لوازم عمرانی، ابزار پزشکی و محصولات شیمیایی استفاده میشود. با تمام اینها، PP دارای خواص مکانیکی نسبتاً پایینی است و به این جهت چارچوب کاربری و استفاده از آن محدود میشود. مطالعات بیشماری بر روی افزایش خواص مکانیکی PP صورت گرفته است. این مطالعات نشان میدهد موادی نظیر نانوذرات، کلسیم کربنات، سیلیکون اکسید و همچنین الیاف شیشهای، الیاف کربنی و الیاف بازالت و بهخصوص الیاف شیشهای کوتاه، باعث استحکام مکانیکی PP میشوند.
در مقاله گذشته درباره کامپوزیت پلیپروپیلن-الیاف شیشه (PP/GF) و اثرات عامل سازگارکننده و مکانیزم آنها در کامپوزیت پلیمری صحبت شد. در این مقاله به بررسی تأثیر عوامل اتصالدهنده PP-g-MA و SEBS-g-MA با مونومر یکسان مالئیک انیدرید و با دو پایه پلیمری مختلف روی خواص مکانیکی و حرارتی کامپوزیت PP/GF پرداخته میشود.
تأثیر عوامل اتصالدهنده SEBS-g-MA و PP-g-MA روی خواص مکانیکی PP/GF
در این قسمت سعی بر آن است که به تأثیر عوامل جفتکننده بر خواص مکانیکی کامپوزیت پلیپروپیلن-الیاف شیشهای پرداخته شود. موادی که در تولید این کامپوزیت استفاده میشود، در جدول زیر آورده شده است.
جدول 1. خواص فیزیکی مواد پلیپروپیلن PP، الیاف شیشهای کوتاه GF، مالئیک انیدرید پیوندشده با پلیپروپیلن PP-g-MA و مالئیک انیدرید پیوندشده با کوپلیمر استایرن اتیلن بوتیلن استایرن SEBS-g-MA

در نمودار شکل 1 و جدول 2 مقایسهای بین خواص کششی کامپوزیت پلیپروپیلن-الیاف شیشه (Polypropylene/Glass Fibers یا بهاختصار PP/GF) در مقادیر مختلف کوپلینگ ایجنت (coupling agent)های PP-g-MA و SEBS-g-MA با پلیپروپیلن-الیاف شیشهای خالص صورت گرفته است. استحکام کششی کامپوزیتها وابسته به مقدار این عوامل سازگارکننده است. نتایج نشان میدهد که افزودن عامل اتصالدهنده بر پایه پلیپروپیلن باعث بهبود استحکام کششی کامپوزیت میشود. بهعنوان مثال افزودن 8% عامل PP-g-MA، استحکام کششی را از 67.6 Mpa به 79.0 Mpa میرساند. این در حالی است که با توجه به ماهیت SEBS بهعنوان یک ترموپلاستیک الاستومر، افزودن عامل جفتکننده کاهش استحکام کششی را منجر میشود، بهگونهای که همین مقدار از عامل SEBS-g-MA، استحکام کششی را به 50.6 Mpa میرساند که نشان میدهد استحکام کششی کامپوزیت با مقدار SEBS-g-MA اضافهشده، کاهش مییابد.
همچنین مدول کششی کامپوزیت با افزایش میزان سازگارکننده پایه پلیپروپیلن افزایش مییابد. بهعنوان مثال با افزودن 8% عامل PP-g-MA، از 1998 Mpa به 2004 Mpa افزایش پیدا میکند. بنابراین مدول کاموزیت بشدت تحت تأثیر مقدار PP-g-MA است. برعکس، با افزایش میزان عامل اتصالدهنده بر پایه SEBS، مدول کاهش مییابد. بهعنوان مثال افزودن 8 درصد از عامل SEBS-g-MA، مدول را تا مقدار 1683.6 Mpa پایین میآورد

شکل 1. a) استحکام کششی و b) مدول کششی کامپوزیت PP/SGF
جدول2. خواص مکانیکی PP خالص و کامپوزیت PP/GF با مقادیر مختلف عوامل سازگارکننده

نمودار و جدول فوق، همچنین خواص خمشی کامپوزیت پلیپروپیلن-الیاف شیشه را بهازای مقادیر مختلف عوامل اتصالکننده مذکور نشان میدهد. افزودن 8% عامل PP-g-MA، استحکام خمشی را از Mpa 99.3 به Mpa 123.4 میرساند که نشاندهنده ارتباط مستقیم بین مقادیر PP-g-MA و استحکام خمشی است. ولی وقتی همین درصد از عامل SEBS-g-MA افزوده میشود، استحکام کششی تا مقدار 81.3 Mpa کاهش مییابد که این مورد هم حاکی از رابطه عکس استحکام خمشی و مقدار SEBS-g-MA است.
در شکل 2 و جدول 1، همچنین میتوان مشابه مقایسههایی که در مورد خواص کششی ذکر شد، مشاهده نمود. مشاهده میشود که تقریباً در تمام موارد، افزایش خاصیت مکانیکی با افزایش مقدار PP-g-MA رابطه مستقیم و با SEBS-g-MA رابطه عکس دارد. تنها موردی که در این گزاره صدق نمیکند، خاصیت ضربهپذیری است. همانطور که از دادهها مشخص میشود، افزودن 8% از دو عامل PP-g-MA و SEBS-g-MA، میزان ضربهپذیری کامپوزیت بدون عامل اتصالدهنده را از 73.6 J/m،بهترتیب به 97.5 J/m و 90.2 J/m میرساند. این موضوع حاکی از آن است که افزایش مقدار هر دو عامل، تأثیر مستقیمی بر میزان خواص ضربهپذیری PP دارد.
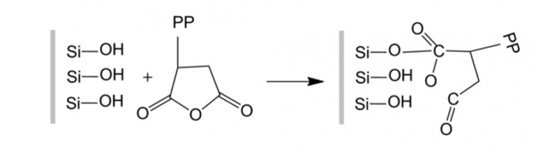
حال باید بررسی نمود که ریشه این تغییرات در چه پارامترهایی قرار دارد. در این بررسی باید تأثیر فاکتورهای مختلف، همچون عدم سازگاری پایه پلیمر ماتریس (PP) با پایه عامل جفتکننده SEBS، خاصیت سازگارکنندگی SEBS-g-MA و جریانپذیری مذاب در پدیده خیسشوندگی بررسی شود. همانطور که گفته شد، با اضافه کردن عامل SEBS-g-MA، استحکام کششی و خمشی PP دچار افت میشود. SEBS-g-MA یک ماده ترموپلاستیک الاستومر است و پایه پلیمری الاستومری آن منجر به کاهش استحکام کششی و خمشی کامپوزیت حاصلشده میگردد. هرچه مقدار SEBS-g-MA بیشتر شود، کاهش استحکام بیشتر خواهد بود. با این حال در خواص ضربه، بهبود در سازگاری بین SEBS-g-MA و GF پدید میآید که تا حدی منجر به تقویت خواص کامپوزیت میشود. شکل 5 نشان میدهد که اختلاط یک SEBS-g-MA، منجر به واکنشی شیمیایی بین PP و GF میشود که سازگاری سطح مشترک آنها را در بر دارد. این بهبود سازگاری در سطح مشترک، به تغییر شکل کامپوزیت تحت ضربه کمک میکند و همین تغییر شکل میتواند انرژی حاصل از ضربه را جذب و کامپوزیت را چقرمهتر کند. همین امر منجر به افزایش استحکام ضربهپذیری میشود. اگرچه چقرمگی کامپوزیت، بهسبب وجود SEBS-g-MA بالا میرود، ولی استحکام کششی و خمشی کم میشوند. در واقع الاستومرها چقرمگی کامپوزیت را بهازای قربانی کردن سفتی و ثبات شکل آنها، افزایش میدهند

شکل 2. a) استحکام خمشی b) مدول خمشی کامپوزیت PP/GF

شکل 3. استحکام ضربهپذیری کامپوزیت PP/GF بهازای مقادیر مختلف کوپلینگ ایجنت (Coupling Agent)
جدول 3. تغییرات خواص کششی، خمشی و ضربهپذیری بر حسب درصد


شکل 4. واکنش شیمیایی بین PP-g-MA و GF

شکل 5. واکنش شیمیایی بین SEBS-g-MA و GF
تأثیر دو عامل سازگارکننده SEBS-g-MA و PP-g-MA روی رفتارهای حرارتی PP/GF
طبق مقایسات انجامشده بین دمای بلورینگی (Tc) و نقطه ذوب (Tm) PP خالص و کامپوزیت PP/GF، کامپوزیتهای PP/GF که دارای عامل PP-g-MA هستند، دارای Tc و Tm کمی بالاتری هستند. این مقایسه را میتوان در شکلهای زیر بررسی کرد

شکل 6. منحنیهای DSC برای رفتارهای a) ذوب و b) بلورینگی کامپوزیت PP/GF
پیکهای موجود در منحنیهای شکلهای a و b، بهترتیب نمایانگر نقطه ذوب و نقطه بلورینگی است. همانطور که مشاهده میشود، با افزودن 8% از PP-g-MA به کامپوزیت PP/GF، دمای بلورینگی از 116.4 C° به 118.8 C° افزایش پیدا میکند. در کامپوزیت پلیپروپیلن-الیاف شیشه، وجود رشته GF در PP خالص، خود باعث افزایش دمای بلورینگی میشود و افزودن PP-g-MA به GF کمک میکند تا مؤثرتر عمل کند و سازگاری بیشتری با ماتریس PP نشان دهد. در نهایت، GF مساحت سطح بیشتری با PP پیدا میکند که منجر به پدیده هستهگذاری میشود و میتواند دمای بلورینگی را بالا ببرد.
نقطه ذوب کامپوزیت PP/GF با حضور PP-g-MA، در حدود 165.4 C° است. همچنین مشاهده میشود که دمای ذوب به مقدار PP-g-MA وابسته نیست. بدان معنی که پیوند عامل PP-g-MA، به ساختار کریستالی و پایداری حرارتی PP ارتباطی ندارد. افزودن 8% از SEBS-g-MA به کامپوزیت PP/GF، دمای بلورینگی را از 116.4 C° تا 118.8 C° بالا میبرد. در کامپوزیت PP/GF، پیوندهای رشته GF باعث افزایش Tc میشوند. SEBS-g-MA بهعنوان یک عامل هستهگذار وارد کامپوزیت میشود و باعث پدیده هستهگذاری PP و در نتیجه باعث افزایش Tc میشود. همچنین Tm کامپوزیت پلیپروپیلن-الیاف شیشه با افزودن 8% از SEBS-g-MA، از 166.21 C° به 167.51 C° میرسد. نتایج نشان میدهد، افزودن این عامل هم در تغییر دمای ذوب بیتأثیر است.
بهطور خلاصه، افزودن هر کدام از دو عامل PP-g-MA و SEBS-g-MA موجب افزایش اندکی در Tc میشود که هرچه مقدار عامل بیشتر باشد، به این روند افزایشی کمک میشود. همچنین افزودن این دو عامل باعث افزایش Tm میشود، اما زیادتر کردن مقدار عامل در کامپوزیت، تأثیری روی نقطه ذوب ندارد.

