
پلیمرها دسته گستردهای از ترکیبات شیمیایی هستند که به هر دو شکل طبیعی و سنتزی یافت میشوند. این ترکیبات از زیرواحدهایی به نام مونومر تشکیل میشوند و نحوه اتصال آنها تاثیر بهسزایی روی ویژگی پلیمرها دارد. به دلیل کاربرد وسیع این دسته از ترکیبات در صنعت و زندگی روزمره، آشنایی با انواع پلیمر از اهمیت بسیاری برخوردار است. در این مطلب مجله فرادرس ابتدا با انواع پلیمر آشنا میشویم و سپس واحدهای سازنده آنها را مورد بررسی قرار میدهیم. در نهایت نیز به بررسی ویژگیهای انواع پلیمر میپردازیم و تعدادی مثال را حل میکنیم.
پلیمر چیست؟
«پلیمر» یا «بسپار» (Polymer) مادهای است که از مولکولهایی بسیار بزرگ یا «درشتمولکولها» (Macromolecules) متشکل از چندین زیرواحد تشکیل شده است. پلیمرها هم بهصورت طبیعی، هم مصنوعی (سنتزی) وجود دارند و به دلیل کاربرد گستردهای که دارند نقش بسیار مهمی در زندگی روزمره انسان بازی میکنند
پلیمرها دارای اندازه و شکلهای متفاوتی هستند، برای مثال میتوان به پلاستیک سنتزی مانند «پلیاستایرن» (Polystyrene) و پلیمرهای زیستی طبیعی مانند «دیانای» (DNA) اشاره کرد که برای ساختار و عملکرد زیستی بدن ضروری هستند.
پلیمرها ویژگیهای فیزیکی نامعمولی دارند که میتوان به سختی، کشسانی بالا، گرانروی کشانی و تمایل به تشکیل ساختارهای آمورف و نیمهبلوری به جای ساختارهای بلوری اشاره کرد. دلیل عدم تشکیل بلور این است که جرم مولکولی پلیمرها نسبت به مولکولهای کوچک بسیار بالاست. برای شناسایی پلیمرها باید با واحدهای سازنده آنها آشنایی داشته باشیم و در ادامه به آنها میپردازیم
مونومر چیست؟
تعداد بسیار زیادی از مولکولهای کوچک که «مونومر» یا «تکپار» (Monomer) نام دارند با یکدیگر همراه میشوند و پلیمرهای مصنوعی و طبیعی را به وجود میآورند، بنابراین میتوان گفت که مونومرها، واحدهای سازنده پلیمر هستند. توجه داشته باشید که یک مولکول کوچک برای اینکه بتواند نقش مونومر را بازی کند باید حداقل دو محل اتصال داشته باشد.
به همین دلیل نیز نمیتوان مولکولهایی مانند آب، متانول و آمونیاک را مونومر خواند. از طرفی آلکنها، وینیل کلرید، آدیپیک اسید و گلیکول به دلیل داشتن دو محل اتصال، مونومر هستند.

در تصویر بالا تعدادی از مونومرهایی را مشاهده میکنید که بهطور معمول در سنتز پلیمرهای محلول آکریلیکی به کار گرفته میشوند. همچنین از مونومر وینیل کلرید و وینیل استات برای تهیه دو پلیمر پلیوینیل کلرید و پلیوینیل استات استفاده میشود. در جدول زیر تعدادی مونومر را به همراه پلیمرهای آنها، مشاهده میکنید.

در ادامه به تعدادی از مهمترین مونومرهای موجود در ساختار انواع پلیمر اشاره میکنیم که طبیعی هستند.
مونومر آمینواسید
مولکولهایی که آمینواسید خوانده میشوند، در ساختار خود دو گروه عاملی آمین و کربوکسیلیک اسید را در کنار هم دارند. آمینواسیدها مونومرهایی هستند که پروتئینها را به وجود میآورند. تنها ۲۰ آمینواسید میتوانند با اخذ توالیهای متفاوت، ۱۰۰۰۰ پروتئین را به وجود بیاورند.
این مونومرهای مهم در ساختار خود تنها دارای عنصرهای کربن، هیدروژن، اکسیژن، نیتروژن و گوگرد هستند.
مونومر نوکلئوتید
«نوکلئوتیدها» (Nucleotides) مونومرهای سازنده RNA هستند. پلینوکلئوتیدها پلیمرهایی طولانی هستند که از مونومرهای خطی نوکلئوتید به وجود آمدهاند. در این پلیمرها، بازهای نیتروژنی به قندهای فسفاتی متصل میشوند و پلیمر را به وجود میآورند.
مونومر گلوکز و قندهای مشابه
واحدهای تکرارشونده «گلوکز» (Glucose) را میتوان با فرمول شیمیایی c6h12o6نشان داد. این واحدها میتوانند به یکدیگر متصل شوند و زنجیرهای بیانتها را به وجود بیاورند که از این جهت اتصال این واحدها مانند مونومر آمینواسید است. بنابراین میتوانیم رشتههای پلیمری داشته باشیم که از توالیهای متفاوت قند و فسفات به همراه باز پورینی یا پیریمیدینی به وجود میآید.
مونومر ایزوپرن
«ایزوپرن» (Isoprene) مونومری است که لاستیک طبیعی، «استروئیدها» (Steroids) و «ترپنها» (Terpenes) را به وجود میآورد، در حالی که مونومر سازنده پلاستیک مصنوعی ۱و۳-بوتادین است. از ایزوپرن نیز در تولید این پلیمرها بهره میگیرند
دیمر چیست؟
زمانی که دو مونومر با یکدیگر همراه میشوند، یک «دوپار» یا «دیمر» (Dimer) تشکیل میشود. دیمر میتواند از اتصال مستقیم دو مونومر و تشکیل پیوند کووالانسی در آنها به وجود بیاید. همچنین نیروهای بینمولکولی ضعیف مانند پیوند هیدروژنی نیز به تشکیل دیمر میانجامند. مولکولهای مونومر سازنده دیمرها، میتوانند از یک نوع یکسان یا دو نوع متفاوت باشند
دیمر کووالانسی
در صورتی که دو مونومر بهصورت شیمیایی و توسط پیوند کووالانسی به یکدیگر متصل شوند، نتیجه تولید «دیمر کووالانسی» (Covalent Dimer) خواهد بود. این مولکولها از پایداری قابل توجهی برخوردارند. برای مثال میتوان به حالتی اشاره کرد که دو مونومر یکسان دارای کربن فعال، تشکیل دیمر میدهند. دیمر کووالانسی دیگری طی تشکیل پل دیسولفیدی در مونومرهای پروتئینی به شکل سیستئین، به وجود میآيد. در تصویر زیر نمونه دیگری از دیمر کووالانسی را مشاهده میکنید که «دیسیکلو پنتادین» نامیده میشود

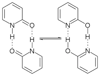
دیمر غیرکووالانسی
«دیمر غیرکووالانسی» (Non Covalent Dimer) در نتیجه نیروی بینمولکولی ضعیفتر از پیوند کووالانسی به وجود میآید و به همین دلیل، پایداری دیمر غیرکووالانسی از دیکر کووالانسی کمتر است. دیمر غیرکووالانسی معمولا زمانی به وجود میآید که شاهد تشکیل پیوند هیدروژنی باشیم.

به این صورت که هیدروژنی متصل به اتمی قطبی (با بار مثبتی بیشتر از هیدروژن در حالت عادی) با یک اتم قطبی (بهطور معمول اتم اکسیژن) برهمکنش میدهد. در بالا نمونهای از دیمر غیرکووالانسی را مشاهده میکنید که از «۲-پیریدون» به وجود میآید و در آن شاهد تشکیل پیوند هیدروژنی هستیم.
الیگومر چیست؟
«الیگومر» (Oligomer) زمانی به وجود میآید که دو یا تعداد بیشتری مونومر به یکدیگر متصل میشوند. در صورتی که الیگومری تنها از دو مونومر تشکیل شده باشد، همان دیمر خواهد بود. مطالعه الیگومرها از اهمیت بهسزایی برخوردار است زیرا برهمکنش و ترکیب مونومرهای مختلف میتواند روی عملکرد الیگومر تاثیر داشته باشد.
بنابراین در بسیاری موارد ویژگیهایی که از خود نشان میدهند از مونومرهای سازنده آنها متفاوت است. در تصویر زیر میتوانید تفاوت واحدهای سازنده پلیمرها را بهصورت واضح مشاهده کنید.

پلیمریزاسیون چیست؟
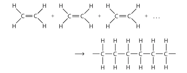
«پلیمریزاسیون» (Polymerization) واکنشی است که طی آن مولکولهای مونومری، زنجیرههای پلیمری یا شبکههای سهبعدی را به وجود میآورند. در تصویر زیر این موضوع به سادگی تمام قابل مشاهه است

از اتصال تعداد زیادی مونومر، پلیمر به وجود میآيد.
بهصورت کلی دو نوع پلیمریزاسیون وجود دارد که به نام پلیمریزاسیون افزایشی و پلیمریزاسیون تراکمی شناخته میشوند که هر دو زیر مجموعه «پلیمریزاسیون مرحلهای» به شمار میروند. در ادامه به نحوه انجام هر کدام از این واکنشها میپردازیم
پلیمریزاسیون افزایشی
«پلیمریزاسیون افزایشی» (Addition Polymerization) روشی است که طی آن پلیمر از افزایش واحدهای مونومری به یکدیگر تولید میشود. نحوه این افزایش در تصویر زیر به سادگی نشان داده شده است

همانطور که مشاهده میکنید این ساختار توانایی گسترش از هر دو سمت را دارد. توجه داشته باشید که تمام اتمهای مونومر شامل دو کربن و چهار هیدروژن، در ساختار پلیمر شرکت میکنند. روند انجام این واکنش را میتوان بهصورت زیر نیز نمایش داد زیرا روش بالا وقتگیر و ناکارآمد است.

در ادامه مثالی را از این روش پلیمریزاسیون مورد بررسی قرار میدهیم. در پلیمریزاسیون اتن، هزاران مولکول اتن به یکدیگر متصل میشوند و «پلیاتن» یا «پلیتن» را به وجود میآورند. این واکنش در فشار بالا و در حضور مقدار کمی هیدروژن به عنوان «آغازگر» (Initiator) انجام میشود. در زیر به برخی از پلیمرهای حاصل از پلیمریزاسیون افزایشی اشاره کردهایم.
پلیمر «پلیپروپیلن» از مونومر پروپیلن
پلیمر «پلیوینیل کلرید« از مونومر وینیل کلرید
پلیمر «پلیتترا فلوئورو اتیلن» از مونومر تترا فلوئورو اتیلن
پلیمریزاسیون تراکمی
بسیاری از پلیمرهای مهم توسط «پلیمریزاسیون تراکمی» (Condensation Polymerization) به وجود میآيند از همین جهت آشنایی با این روش ضروری است. در این نوع پلیمریزاسیون معمولا محصول جانبی مانند آب به وجود میآید که از محیط حذف میشود و شامل دو جزء سازنده است که به تناوب در ساختار پلیمری قرار میگیرند. در زیر به نمونهای از این نوع پلیمریزاسیون توجه کنید که مربوطه به تشکیل پلیمر «پلیاستر» است.

واکنش پلیمریزاسیون تراکمی آهستهتر از پلیمریزاسیون افزایشی صورت میگیرد و نیازمند گرما است. همچنین پلیمرهایی که طی آن به وجود میآیند بهطور کلی دارای جرم مولکولی پایینتری هستند. در این پلیمرها شاهد حضور گروههای عاملی قطبی هستیم که برهمکنش زنجیرهها را با یکدیگر تقویت میکنند، بهخصوص در مواردی که پیوند هیدروژنی در میان باشد. این پلیمرها بلوری و دارای مقاومت کششی هستند. در زیر مثال دیگری از واکنش پلیمریزاسیون تراکمی را مشاهده میکنید

کوپلیمر و هموپلیمر چیست؟
«کوپلیمر» (Copolymer)، پلیمری است که از دو یا تعداد بیشتری نوع مونومر تشکیل شده باشد. بسیاری از پلیمرهای مهم صنعتی در واقع کوپلیمر هستند که در زیر به برخی از آنها اشاره کردهایم.
پلیاتیلن وینیل استات
لاستیک نیتریل
آکریلونیتریل بوتادین استایرن
همچنین یک «هموپلیمر» (Homopolymer)، پلیمری است که مونومرهای سازنده آن همگی از یک نوع باشند. در تصویر زیر به صورت بسیار ساده به تفاوتهای این دو نوع پلیمر پرداختهایم.

انواع کوپلیمر
کوپلیمرها خود با توجه به نحوه اتصال مونومرها به دو نوع «کوپلیمر خطی» (Linear Copolymer) و «کوپلیمر شاخهدار» (Branched Copolymer) تقسیمبندی میشوند و هر کدام انواع مختلفی دارند. در ادامه به برخی از مهمترین انواع کوپلیمرها اشاره میکنیم.
کوپلیمر دستهای
زمانی که بیش از یک واحد هموپلیمری با پیوند کووالانسی به یکدیگر متصل باشند، درشتمولکولی به وجود میآید که آن را «کوپلیمر دستهای» (Block Copolymer) مینامند. این کوپلیمر میتواند از دو یا سه و تعداد بیشتری هموپلیمر به وجود بیاید. مثالی از این دسته «آکریلونتریل بوتادین استایرن» است. در تصویر زیر کوپلیمری را مشاهده میکنید که از دو مونومر Bو A به وجود آمده است

کوپلیمر تناوبی
«کوپلیمر تناوبی» (Alternating Copolymer) یک شاخه دارد و بهصورتی تشکیل میشوند که در آن مونومرها در تناوب باشند. فرمول کلی یک کوپلیمر تناوبی که از دو واحد مونومری A و B تشکیل شده باشد را میتوان بهصورت2 (-a-b-)
نمایش داد. «نایلون ۶۶» مثالی از این نوع پلیمر است که در آن مونومرهای «هگزامتیلن دیآمین« و «آدیپیک اسید« بهصورت یک در میان آمدهاند. این کوپلیمر را میتوان بهصورت ساده زیر نشان داد

کوپلیمر ستارهای
«کوپلیمر ستارهای» (Star Copolymer) به دسته کوپلیمرهای شاخهای تعلق دارد که در آن مونومرهای در ترکیب با یکدیگر ساختاری شاخهای را به وجود میآورند. در کوپلیمر ستارهای زنجیرههای پلیمری متعدد به یک مرکز متصل هستند. دو ساختار از این کوپلیمر را میتوایند در تصویر زیر مشاهده کنید.

کوپلیمر پیوندی
به پلیمری که دارای زنجیرههای اصلی و فرعی با توالیهای متفاوتی از مونومر باشد، «کوپلیمر پیوندی» (Graft Copolymer) گفته میشود. در زیر نمونهای از این کوپلیمر را مشاهده میکنید که از دو مونومر A و B
تشکیل شده است. توجه داشته باشید که زنجیره اصلی یا زنجیره فرعی این کوپلیمر میتواند خود یک هموپلیمر باشد. یکی از مهمترین کوپلیمرهای پیوندی «پلیاستایرن» نام دارد.

انواع پلیمر چیست؟
به دلیل ساختار پیچیده، رفتار متنوع و کاربرد گسترهای که پلیمرها دارند، نمیتوان آنها را در یک دستهبندی گنجاند. در این بخش به تعدادی از مهمترین دستهبندیهای موجود برای پلیمرها اشاره خواهیم داشت.
انواع پلیمر با توجه به منبع
در این دستهبندی ۳ نوع مختلف پلیمر وجود دارد که آنها را در فهرست زیر مشاهده میکنید.
پلیمر مصنوعی
پلیمر طبیعی
پلیمر نیمهمصنوعی
پلیمر مصنوعی چیست؟
«پلیمر مصنوعی» (Synthetic Polymer) که «پلیمر سنتزی» نیز نامیده میشود، ساخته دست انسان هستند. معروفترین و پرکاربردترین پلیمر مصنوعی که وجود دارد، پلاستیک است که در صنایع مختلف به کار گرفته میشود. نایلون-۶ و پلیاترها نیز به دسته پلیمرهای مصنوعی تعلق دارند.
پلیمر نایلون
«نایلون» (Nylon) خانواده بسیار وسیعی از ترکیبات را شامل میشود که در روش تولید، جرم مولکولی و گروه مونومرهای سازنده با یکدیگر متفاوت هستند اما همگی از پلیآمیدها به وجود میآیند. آنها ساختار مستحکمی دارند و از جمله پلیمرهایی به حساب میآیند که از پایداری شیمیایی برخوردارند.

پلیاتیلن
«پلیاتیلن» (Polyethylene) نیز پلیمری است که مانند نایلون دارای انواع مختلف با جرم مولکولی متفاوت است. تفاوت انواع پلیاتیلن معمولا به درجه و پیچیدگی شاخههای جانبی موجود در زنجیره آن بستگی دارد. مونومر تشکیل دهنده این پلیمر گاز اتیلن است. پیاتیلن از موادی نرم با چگالی پایین (مانند کیسههای تمیزی) تا ترکیباتی با درجه مهندسی مانند پلیاتیلن با وزن مولکولی بسیار بالا را شامل میشوند که آنها را به اختصار بهصورت UHMW نمایش میدهند. از پلیمر پلیاتیلن برای تولید ظرفهای نگهدارنده مواد غذایی، لوله و قطعات مهندسی استفاده میشود

پلیمر پلیاستر
«پلیاسترها» (Polyesters) معمولا موادی آمورف هستند و در صنایع نساجی به کار گرفته میشود. میتوان از پلیاستر به عنوان پرکاربردترین پلیمر مصنوعی یاد کرد. واحد استر تکرارشونده این پلیمر در تصویر زیر نشان داده شده است.

پلیمر تفلون
«تفلون» که نام شیمیایی آن «پلیتترا فلوئورو اتیلن» (PTFE) است، پلیمر مصنوعی پیشرفتهای است که خانواده بزرگی از پلیمرها با واحدهای تکرارشونده فلوئور را در بر میگیرد. در زیر ساختار عمومی این پلیمر را مشاهده میکنید

ساختار بسته و باز پلیمر تفلون را مشاهده میکنید.
در مواردی که مقاومت شیمیایی و سایشی ماده اهمیت داشته باشد، از این ماده استفاده میشود زیرا دارای «انرژی سطح» (Surface Energy) بسیار پایینی هستند.
پلیمر اپوکسی
«رزینهای اپوکسی» (Epoxy Resins) ترکیباتی متشکل از ۲ بخش هستند که یا با یکدیگر وارد پلیمریزاسیون میشوند یا واکنشی کاتالیزوری را به انجام میرسانند. به این صورت که یک بخش نقش کاتالیزور بخش دیگر را ایفا میکند. اپوکسیها پلیمرهایی گرماسخت هستند و طی واکنشی خودکاتالیزوری، مایعاتی را تشکیل میدهند که سپس سخت میشوند و با ظاهری جامد خواهند بود. در بخشهای بعدی در مورد پلیمرهای گرماسخت به تفضیل صحبت خواهیم کرد.
پلیمر سیلیکون
«سیلیکون» (Silicone) نیز مانند اپوکسی از دو بخش تشکیل میشوند. در واقع سیلیکون پلیمری گرماسخت است که وارد واکنشی کاتالیزوری میشود. مادهای که طی این واکنش به دست میآيد، بهطور معمول الاستومر است و مقاومت کم تا متوسطی در برابر شکست دارد اما از «مقاومت فشاری» (Compressive Strength) بالایی برخوردار است. این پلیمر در مواردی میتواند تا دمای ۳۰۰ درجه سانتیگراد را متحمل شود. در تصویر زیر این پلیمر و مونومرهای تشکیل دهنده آن را مشاهده میکنید

پلیمر اسلایم
«اسلایم» (Slime) مادهای نامعمول است که از «بوراکس» (Borax) برای ایجاد اتصال عرضی استفاده میکند. در این فرآيند «پلیوینیل استات» تبدیل به مادهای الاستیکی و پایدار میشود که همزمان رفتاری مانند مایع و جامد از خود نشان میدهد. سپس وقتی با چسب مخلوط میشود، یونهای فعالکننده بورات با مولکولهای پروتئین چسب، اتصال عرضی میدهند.

این امر باعث میشود مولکولهای بزرگتری در دست داشته باشیم که نمیتوانند بهسادگی از کنار یکدیگر عبور کنند. به این صورت پلیمر جدیدی خواهیم داشت. اسلایم حساسیت بسیار بالایی در برابر «نرخ کرنش» (Strain Rate) دارد. بهصورتی که با وجود اینکه تقریبا مایع است میتواند ویژگی شکنندگی داشته باشد.
پلیمر پلیاستایرن
«پلیاستایرن» (PS) پلیمری با کاربرد گسترده است که ویژگیهای بسیار فکارآمد و مفیدی دارد. میتوان با گاز مبرد آن را تبدیل به فوم کرد تا مادهای نرم و شکننده اما مقاوم در برابر ضربه و عایق به دست بیاید. نمونهای از این محصول را در تصویر زیر مشاهده میکنید

این ماده را میتوان بدون کوپلیمریزاسیون مورد استفاده قرار داد که کم خرج اما شکننده است. همچنین میتوان آن با پلاستیکهای سنتزی مانند آکریلو نیتریل و بوتادین آلیاژ کرد تا پلیمری صلب، کدر و مستحکم شود که کاربرد جهانی دارد
پلیمر طبیعی چیست؟
«پلیمر طبیعی» (Natural Polymers) بهصورت طبیعی در گیاه و حیوانات وجود دارند. از جمله این پلیمرهای طبیعی میتوان به پروتئین، نشاسته و سلولز اشاره کرد. همچنین این پلیمرها «زیست تخریبپذیر» (Biodegradable) هستند. این پلیمرها دسته بسیار مهمی را تشکیل میدهند، به همین دلیل در ادامه به بررسی تعدادی از آنها بهتفضیل میپردازیم.
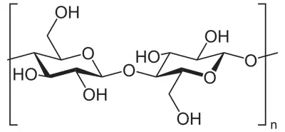
پلیمر سلولز
سلولز در دیواره سلول فیبر قرار دارد و به سلول حجم میبخشد. وجود این پلیمر همچنین به استحکام گیاه میانجامد. سلولزها با توجه به منشا گیاهی خود به انواع مختلفی دستهبندی میشوند.

سلولز را بعد از استخراج، تصفیه میکنند و میتوان آنها را بهصورت یک ماده یگانه در نظر گرفت. ساختار این پلیمر را در تصویر بالا میتوانید مشاهده کنید.
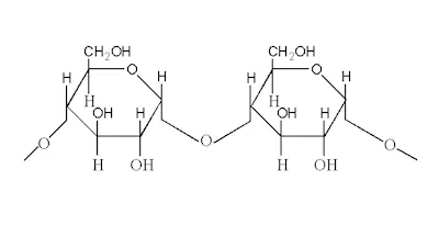
پلیمر نشاسته
نشاسته پلیمری طبیعی است که در بسیاری از گیاهان خوراکی مانند سیبزمینی و ذرت وجود دارد. این پلیمر انرژی مورد نیاز برای گیاه را در خود ذخیره میکند و از پلیمرهای آلفا-گلوگز تشکیل شده است که ساختار آن را در تصویر زیر آوردهایم

نشاستههای طبیعی استحکام و پایداری کمی از خود نشان میدهند. از این پلیمر، بعد از استخراج و خالصسازی به عنوان ماده اولیه آلی برای تولید پلیمرهایی با منشا زیستی مانند «پلیلاکتیک اسید» استفاده میشود. همچنین از آن در تولید الکل صنعتی نیز بهره میبرند که خود برای تولید پلیمرهایی با پایه الکلی مانند «پلیوینیل الکل» مورد نیاز است.
پلیمر پروتئینی
پروتئین موجود در اجزایی مانند مو و ناخن، معمولا «کراتین» (Keratin) نامیده میشود. این ماده را میتوان به روشهای متفاوتی در حلالها حل کرد تا به عنوان ماده اولیه در پلیمرهایی با منشا زیستی مورد استفاده قرار بگیرد. معمولا در چنین مواردی این پلیمر را با سلولز همراه میکنند.
از منابع کراتینی بزرگ مانند شاخ و لاک حیوانات برای تولید اشیایی مانند شانه سر، مجسمه و موارد تزئینی دیگر استفاده میشود. در گذشته از شاخ گاو به عنوان مخزن نگهدارنده ضدآب استفاده میشد. کراتین در موی حیواناتی مانند گوسفند نیز وجود دارد و به عنوان ماده اولیه برای پلیمرهایی با منشا طبیعی استفاده میشود که در پزشکی کاربرد دارند.
ابریشم
ابریشم تولید شده توسط کرم ابریشم همیشه به عنوان مادهای مستحکم شناخته میشد. امروزه میدانیم که این ماده از دو پروتئین «سریسین» (Sericin) و «فیبروئین» (Fibroin) تشکیل شده است. ابریشم عنکبوت نیز از دو آمینو اسید «آلانین» (Alanine) و «گلایسین» (Glycine) تشکیل میشود. جمعآوری این ماده در حجم بالا ممکن نیست اما میتوان با ایده از آن، پلیمرهایی با منشا طبیعی را سنتز کرد که در تولید پلاستیکهای یکبارمصرف به کار بروند
دیانای
«دیانای» (DNA) و «آرانای» (RNA) پلیمرهایی بلندزنجیر طبیعی هستند که تعداد بسیار زیادی واحد آمینواسیدی به وجود میآيند. این پلیمر زیستی تمام اطلاعات ژنتیکی و ویژگی وراثتی موجودات زنده را در ساختار خود حمل میکند.
پلاستیک طبیعی و لاک
پلاستیکهای طبیعی پلیمرهایی هستند که از شیره برخی گیاهان به دست میآيند. این شیره انرژی مورد نیاز برای گیاهان را با حرکت در طول آنها تامین میکند. یکی از مهمترین ویژگیهای این ترکیبات این است که در تماس با هوا سفت میشوند. این ویژگی در زمان جراحت گیاه کاربرد دارد و سبب حفاظت آن در برابر عوامل بیرونی میشود. در این مرحله مونومرهای طبیعی تبدیل به پلیمری طبیعی به نام «لاتکس» (Latex) میشوند.

لاتکس به گونههای متنوعی تبدیل میشود و مورد استفاده قرار میگیرد. این ترکیبات بهصورتی خواهند بود که اتصال عرضی و پایداری شیمیایی بالاتری داشته باشند. لاک و پوششهایی مانند «شلاک» (Shellac) از مدفوع سوسکها به دست میآيد. این ماده را میتوان در حلالهای متفاوتی حل کرد زیرا در این حالت کاربرد پوششی پیدا میکنند، بهصورتی که با تبخیر شدن حلال، لاک باقی میماند و سخت میشود.
پلیمر نیمهمصنوعی چیست؟
«پلیمرهای نیمهمصنوعی» (Semi-synthetic Polymers) پلیمرهایی طبیعی هستند که روی آنها تغییراتی شیمیایی اعمال میشود. از این دسته پلیمرها میتوان به «سلولز نیترات» و «سلولز استات» اشاره کرد.
انواع پلیمر با توجه به زنجیره مونومری
در این دستهبندی نیز ۳ نوع مختلف پلیمر وجود دارد که آنها را در فهرست زیر مشاهده میکنید. پیش از این در بخش مونومرهای در مورد این دسته از پلیمرها صحبت کردهایم.
پلیمرهای خطی
پلیمرهای شاخهدار
پلیمرهای اتصال عرضی
پلیمر خطی چیست؟
«پلیمر خطی» (Linear Polymer)، پلیمری است که دارای ساختاری راستزنجیر و طولانی باشد. برای مثال «پیویسی» (PVC) و «پلیوینیل کلرید» پلیمرهایی خطی هستند که از آنها برای تولید لوله و سیمهای الکتریکی استفاده میشود. پلیمر پیویسی از پلیمریزاسیون مونومر کلرواتیلن به دست میآيد.
پلیمر شاخهدار چیست؟
«پلیمر شاخهدار» (Branched-chain Polymer) در واقع پلیمرهای خطی هستند که شاخههایی نیز به آنها اضافه شده است. از نمونه این پلیمرها میتوان به پلیاتان با چگالی پایین اشاره کرد.
پلیمر اتصالعرضی چیست؟
«پلیمر اتصالعرضی» (Cross-linked Polymer) از «مونومرهای دوکاره» (Bifunctional Monomers) و «مونومرهای سهکاره» (Trifunctional Monomers) تشکیل میشوند. این پلیمر در مقایسه با پلیمرهای خطی پیوند کووالانسی قویتری دارند. برای مثال میتوان به «ملامین» و «باکلیت» اشاره کرد که پلیمرهای اتصالعرضی به شمار میروند.
انواع پلیمر با توجه به رفتار تحت گرما
این دستهبندی با توجه به رفتار پلیمرها تحت گرما، انجام میشود و شامل موارد زیر است.
پلیمر ترموست
پلیمر ترموپلاستیک
پلیمر الاستومر
این دستهبندی انواع پلیمر از اهمیت بالایی برخوردار است، بنابراین در ادامه میخواهیم با هر کدام از این دستهها بیشتر آشنا شویم.
پلیمر ترموپلاستیک
«پلیمر ترموپلاستیک» يا «پلیمر گرمانرم» (Thermoplastic) میتواند دارای ساختاری بلوری یا آمورف باشد. در این نوع پلیمر زنجیرههای طولانی مولکولی به فرم خطی هستند اما با یکدیگر توسط نیروی ثانویه واندروالسی نیز اتصال دارند.
در دمای بالا، برانگیختی زنجیرههای مولکولی بر این نیرو غلبه میکند و زنجیرهها با لغزیدن روی یکدیگر، مایعی چگال را به وجود میآورند. در واقع میتوان اینطور تصور کرد که پیوندهای ثانویه ذوب شدهاند. «دمای تبدیل شیشه» (Glass Transition Temperature) آنها را میتوان از دمای ذوب شدن پیوندهای ثانویه به دست آورد.

اگر پلیمر مذکور دوباره سرد شود، نیروهای ثانویه غلبه پیدا میکنند و زنجیرههای مولکول نیز محدود خواهند شد. با توجه به این ویژگی میتوان اینطور نتیجه گیری کرد که پلیمرهای ترموپلاستیک توانایی ذوب شدن و سپس به دست آوردن حالت اولیه خود را دارند و این ویژگی برای انجام بازیافت بسیار مهم است.
پلیمر ترموست
در «پلیمر ترموست» یا «پلیمر گرماسخت» (Thermoset Polymer) زنجیرههای بلند در شبکهای آمورفی با پیوندهایی بهصورت اتصال عرضی حضور دارند، به این معنی که زنجیرههای مولکولی درگیر پیوند کووالانسی با یکدیگر هستند. به مرحلهای که در آن اتصال عرضی به وجود میآيد، «پخت» (Cure) گفته میشود.

این مرحله باعث میشود زنجیرههای مولکولی در جای خود ثابت شوند بنابراین نمیتوان مانند پلیمر گرمانرم آن را بعد از ذوب شدن، دوباره به مرحله قبل برگرداند. این پلیمر در دمایی بالاتر از دمای تبدیل شیشه خود T G
تخریب میشود. وجود اتصال عرضی مانع شکلگیری پلیمر بهصورت بلور میشود، بنابراین پلیمر ترموست همیشه تنها به حالت آموف وجود دارد.
پلیمر الاستومر
در «پلیمر الاستومر» (Elastomer Polymer) زنجیرههای بلند مولکولی بهصورت آمورفی وجود دارند و در بین آنها تعدادی اتصال عرضی معدود مشاهده میشود. تفاوت این پلیمر با دو پلیمری که پیش از این به آنها پرداختیم، در تصویر زیر قابل مشاهده است.

در دمای اتاق، برانگیختی زنجیرهها بر پیوندهای ثانویه واندروالسی غلبه دارد با این حال وجود اتصالهای عرضی پلیمر را به حالت اصلی خود بر میگرداند و باعث دفرمه شدن آن میشود

